时间:2021/03/25 点击量:415
微波滤波器是射频系统中接收前端部分的核心器件,用于从背景噪声中滤出目标频段信号或抑制射频干涉产生的较强干扰信号,被广泛应用在无线 通信、卫星通信、电子雷达等现代微波系统中。传统 的微波滤波器是在电域内实现信号滤波,受电子瓶颈所限,通常工作频段范围窄、可调谐性差、体积尺寸较大,难以满足未来微波系统对更高处理频段和更大通信容量的迫切需求。微波光子滤波器(MicrowavePhotonicFilter,MPF)是将信号从微波 域上变频到光域,利用光电子器件在光域内实现滤波处理操作,因此可以打破电子瓶颈的限制,具有高带宽、良好的可调谐性、灵活可重构、抗电磁干扰等显著优势,被认为是可应用在下一代无线射频系统中的关键技术之一。
过去关于微波光子滤波器的研究,大部分是基于光纤连接的分立光电子器件搭建系统,虽然可以发挥出微波光子滤波器所固有的高带宽、可调谐、对 电磁干扰不敏感的优势,但是仍存在系统体积和重量大、功耗和成本高、稳定性差等问题。这些问题在面向通信卫星、机载雷达等对载荷要求极高的系统应用时影响将会更加明显。近年来,随着集成光电子工艺与技术的蓬勃发展,研究者们逐步将微波光子滤波器系统中的核心光电子器件,包括激光器、 调制器、无源光滤波器、探测器等集成到光芯片上, 衍生出集成微波光子滤波器(IntegratedMicrowave PhotonicFilter,IMPF)这一新兴的研究方向。2009 年,美国贝尔实验室的研究者们首次报道了硅(Si) 基片上低损耗微环谐振腔的可调谐带陷型微波光子滤波器,实现了910MHz的滤波带宽与2~15GHz 的频率调谐范围。随后,利用铟磷(InP)基的片上级联微环和级联 Mach-Zehnder(MZ)干涉仪结构的微波光子滤波器也相继在实验上实现。到2016 年,西班牙瓦伦西亚理工大学的 Capmany教授团队实现了世界上第一个全集成的微波光子滤波器,成 功地将微波光子滤波器系统所需的全部器件,即激光器、调制器、光滤波器和探测器集成在单颗InP芯 片上。截至目前,集成微波光子滤波器虽然得到了广泛的研究与长足的发展,但是其滤波性能距离 实用化仍存在较大差距,整体尚处于前沿探索的阶段。
当前,集成微波光子滤波器主要基于铟磷、硅和 氮化硅(Si3N4)三个材料平台实现[8]。InP 基平台 的工艺发展最为成熟,可以同时制备出有源器件(激光器、调制器、光放大器和探测器)和无源器件(光波导),但是存在损耗高(1.5~3dB/cm)、工艺复杂、 成本高、CMOS工艺不兼容等问题。而硅基和氮化 硅基材料平台[9],可以利用现有的成熟微电子集成工艺进行器件制备,波导传输损耗低 (Si:0.1~ 2dB/cm;Si3N4:0.01~0.2dB/cm)、制备成本低、 易于量产,而且与 CMOS标准工艺兼容良好,具有与驱动电路单片集成的潜力,但是也存在无法实现硅基激光器的问题。
本文重点关注硅基集成微波光子滤波器,从微波光子滤波器的基本工作原理出发,详细综述了硅 基非相干型微波光子滤波器和相干型微波光子滤波器的最新研究进展,并分析了当前面临的问题与挑战。最后,对硅基微波光子滤波器的发展现状做了简要总结,并对其未来发展方向进行了展望。
1、微波光子滤波器的原理
微波光子滤波器的基本系统架构如图1所示。 激光器产生连续光或脉冲光,通过高速电光调制器调制从而将射频输入电信号加载至光频段上,然后 基于光处理器对加载有射频输入的光信号进行光域 上的处理,通常为光滤波、延迟或波形整形等操作, 最后由光电探测器接收,将处理后的光信号还原至 电域产生射频输出。依据在光域上进行信号处 理方式与原理的不同,可以将微波光子滤波器划分为非相干型滤波器与相干型滤波器两类。
图1 微波光子滤波器的基本系统架构
非相干型微波光子滤波器的滤波性质与光源的相位无关,该类型滤波器通常采用多抽头延迟的结 构,与经典离散信号处理中的数字滤波器的架构类似,即将调制上电信号的光载波分成 N 个抽头, 每路抽头经过不同的加权与延迟,然后再将这N路信号合在一起输入探测器中拍频产生输出。非相干型微波光子滤波器在时域上的冲激响应函数h(t) 可以表达为 h(t)=∑ N-1 n=0 anδ(t-nΔT) (1) 其中,an 为抽头系数,ΔT 为相邻抽头间的时延差。 将时域表达式进行傅里叶变换可以得到频域上的滤 波表达式: H(ω)=∑ N-1 n=0 ane-jnωΔT (2)
根据以上表达式可以看出滤波器的频域响应具有周期性,自由频谱范围(FSR)等于 1/ΔT。依据 抽头系数an 的代数形式分为正系数滤波器、负系数 滤波器和复系数滤波器。依据抽头数目可分为有限冲激响应(FIR)滤波器和无限冲激响应(IIR)滤波 器。非相干型滤波器可以通过调控抽头系数,灵活地实现对滤波带宽、中心频率和滤波波形的调谐,具 有很强的重构性和通用性。然而系统搭建较为复 杂,实现较高的集成度极具挑战性。
相干型滤波器的滤波特性与光源相位相关,通常系统结构相比非相干型滤波器要简单很多。相干型滤波器由单波长光源产生连续激光,经过调制器 加载微波电信号,然后通过预先设计好的光滤波器 对加载在光载波上的微波信号进行光域上的滤波操作,最后进入探测器拍频还原出微波信号。可以看 出,相干型滤波器实际上是将光滤波器的光域滤波 响应直接映射到电域上。该类型的滤波器系统组成 较为简单,系统稳定性更高,易于实现较高程度的集 成,目前已报道的高集成度片上微波光子滤波器均是基于该类型系统结构。
2、非相干型硅基微波光子滤波器
非相干型微波光子滤波器,具体来说有两种主要的实现方式。第一种方案是基于单波长的光源, 通过光分束器产生多路抽头,对各路抽头的光强与 相位进行加权,并利用光延迟线在抽头间引入延迟 差。第二种方案是基于多波长光源或光谱切割后的 宽谱光源,一个波长即作为一路抽头,通过可编程光波形整形器(Waveshaper)对各波长光的幅度和相 位进行加权,然后经一段色散介质引入抽头间的延迟差。
2.1 基于单波长光源的非相干型滤波器
对于单波长的非相干型微波光子滤波器,传统的分立系统通常需要采用不同延迟量的光纤延迟线阵列组合,系统复杂度高且工作稳定性差。硅基 光电子集成技术的发展为解决这一难题提供了有效 的方案。基于不同设计结构的硅波导可调延迟线器件及延迟线阵列相继被报道,相比于光纤延迟线,光 波导延迟线具有尺寸小、可调谐、鲁棒性高、稳定性 强等显著优势。
2011年,Burla等提出了基于级联微环结构的 集成可重构光延迟线,如图2(a)所示,它由载波分 离调谐单元(SCT Unit)、光延迟线(ODL)和光边带 滤波器(OSBF)组成。器件基于 CMOS 工艺兼容的 TriPleX 技术制备。基于该可重构光延迟 线,搭建了2抽头的微波光子滤波器系统,并实现了 滤波响应的连续调谐,如图2(b)所示。然而,基于微环结构的延迟线存在着工作带宽窄的固有缺陷, 限制了其在宽带系统中的应用。为提升器件的工作频段范围,Lawrence 等提出了亚波长光栅(Subwavelength Grating,SWG)结构光波导延迟线,器件结构如图2(c)所示。延迟线的通道数为4路,由采用不同占空比等结构参数的SWG 波导组成,各路SWG 波导对同一波长光的有效折射率不同,进而产生不同的延迟量。该器件的工作带宽可 达几到几十太赫兹,同时具有结构紧凑、设计灵活的特点。2015年,华中科技大学张新亮课题组报道了硅基集成的4抽头 FIR 型滤波器,器件结构如图2 (d)所示,该结构除集成了4通道的光延迟线阵 列外,还将各路抽头的加权功能也集成在硅芯片上, 即利用片上 MZ热光调制器进行幅度调谐,利用热光相移器进行相位调谐。他们基于该 FIR 滤波器, 在实验上成功实现了方波、三角波、锯齿波等多种脉冲波形的产生与射频微分器等多种功能。
(a) 基于级联微环结构的光延迟线
(b) 2抽头微波光子滤波器的频率响应
(c) 基于亚波长光栅结构的光延迟线
(d) 硅基集成的4抽头FIR型滤波器
图2 基于单波长光源的集成非相干型滤波器
2.2 基于多波长光源的非相干型滤波器
基于多波长光源的非相干型微波光子滤波器, 系统组成通常包括多波长光源、光波形整形器、电光调制器、色散介质与光电探测器等五个部分。由于系统链路的复杂度高,目前该类型滤波器在硅基平台上仅实现了单类器件的部分集成,主要集中在硅基片上的多波长光源、光波形整形器和高色散波导三个研究方向。
对于多波长光源的产生,传统的分立微波光子滤波器系统通常需要一组激光器阵列,这极大地增 大了系统的体积,提高了成本。近年来,基于片上微 环谐振腔的非线性克尔光学频率梳的出现,为实现 微型化高效率的多波长光源提供了一种理想思路。 2014年,美国普渡大学的 Weiner教授课题组基于氮化硅微环谐振腔(MicroringResonator,MRR)产 生了相干性良好的宽谱克尔光频梳,并将其作为光 源搭建了复系数微波光子滤波器系统,如图3(a)所 示。通过波形整形器调谐各路抽头,即各根光梳梳齿的光强度与相位,即可实现对滤波波形的任意重构。然而,其入射进氮化硅微环的泵浦光功率高 达1.43W,需 要借助高功率掺铒光纤放大器(EDFA)实现,增大了系统功耗与复杂度。为解决这个问题,我 们课题组提出了基于高效率铝镓砷(AlGaAs)微腔光频梳的滤波器系统,如图3(b)所。凭借AlGaAs材料本征的高非线性系数,加 上对刻蚀工艺和波导设计的优化,AlGaAs基微腔此前已实现了低至约36μW 的光梳产生阈值功率。利用AlGaAs基微环,在约20mW 泵浦光功率下,实现了良好的带通滤波性能,其中边模抑制比高于25dB,滤波中心频率和滤波带宽均可灵活调谐。
(a) 基于氮化硅微腔光频梳的滤波器系统
(b) 基于铝镓砷微腔光频梳的滤波器系统
(c) 硅基集成的光波波形整形器
(d) 基于光子晶体结构的高色散波导
图3 基于多波长光源的集成非相干型滤波器示。
对于光频梳的梳齿整形,传统方案中使用的光波形整形器一般是基于高分辨率固态硅晶体(LCoS)阵列实现的。该类型器件是分立的,因而尺寸较大且机械稳定性差。2016年,普渡大学 Weiner 课题组率先基于InP 基工艺实现了片上集成的32 通道、25GHz通道间隔的光波形整形器,并成功演示了其应用于滤波器系统的能力。华中科技大学的王健课题组在硅基平台上实现16通道的光波形整形器,结构如图3(c)所示,由输入阵列波导光栅 (AWG)、强度调制器、相移器阵列和输出AWG 组成。该器件初步验证了硅基片上光波形整 形的可行性,但与商用的分立器件相比,在光插损、 分辨率、通道串扰等指标上均存在很大差距。
基于多波长光源的分立滤波器系统,抽头间的固定时延差是通过色散光纤产生的。要实现该类型滤波器的片上集成,就需要制备出高色散的集成光波导以代替色散光纤在系统中的功能。2012 年, Capmany等报道了片上光子晶体波导的方案,如图 3(d)所示,器件长度为 1.5mm,插入损耗低于 10dB,采用InP基工艺制备。利用该光子晶体波导代替色散光纤,成功实现了4抽头的微波光子滤波器。而在硅基平台上,对于高色散波导的实验研究与仿真设计也取得了一些不错的进展,但尚未有应用在微波光子滤波器系统中的实验报道。 整体来说,非相干型微波光子滤波器在硅基平台上的集成度不高,目前仅实现了单个器件的片上集成,系统的大部分组件仍采用分立器件。其原因 主要有:一是该类型滤波器的系统链路复杂度高,当 集成规模较大时,片上的光损耗很高而导致探测器 难以响应;二是系统所需的几类关键器件,如高效 的光频梳源、高精度的波形整形器和低损耗大色散的光波导,基于目前的制备工艺实现难度很大。尽 管如此,非相干型微波光子滤波器因其良好的可重构性和可调谐性,更适用于复杂多样的微波系统,因 而未来仍具有很大的研究意义与价值。
3、相干型硅基微波光子滤波器
相比非相干型微波光子滤波器,相干型滤波器在硅基平台上的集成研究则更为广泛与深入。由于 相干型滤波器的滤波响应与系统中光滤波器的光域频率响应直接相关,因此研究者们首先将关注点集中在实现性能良好的硅基片上光滤波器上。相比于光纤滤波器,硅基片上光滤波器的尺寸更小,且可调 谐性强、可动态重构、设计灵活、工作稳定性更好。 构建硅基片上光滤波器目前主要有三种方案: 基于片上微环/微盘谐振腔、片上波导布拉格光栅 (WaveguideBraggGrating,WBG)和片上受激布里 渊散射(SBS)效应。其中,基于微环/微盘谐振腔的 器件结构使用最为广泛。
3.1 基于硅基微环/微盘的滤波器
图4(a)所示为早期报道的一个基于硅基微环的带通滤波器系统,其基本工作原理为:射频电信号通过相位调制器加载到光载波上,产生上下两个反相的微波边带,当利用微环的谐振峰滤除其中一个边带并输入探测器拍频时,即可通过相位调制到强度调制(PM-IM)的转换效应,产生电域上的带通型滤波响应。与此类似,Liu等将相位调制后产生的双边带信号滤除掉其中一个边带,并利用硅基微盘谐振腔对余下的边带进行滤波,再进入探测器拍频即可实现电域上的带陷型滤波响应,如 图4(b)所示。在上述早期研究工作中,微环谐振器的结构和滤波器系统均未经优化,因而存在着滤波带宽较大(约1GHz)、抑制比较低、可调谐性差等诸多问题。
为进一步提升硅基片上基于微环的微波光子滤波器的性能指标,研究者们提出了许多卓有成效的优化方案。在优化滤波带宽方面,研究重点集中在降低波导损耗即提升微环的品质因子(Q 值)上。 Marpaung等利用损耗更低的氮化硅微环构建出带 陷型滤波器,获得了247~840MHz的滤波带宽、2~8GHz的频率调谐范围。2018年,Qiu等提出了一种超高Q值跑道型硅基微环结构,如图5(a) 所示,其中两段长直波导区域采用2μm 宽光 波导,可有效降低波导侧壁损耗,因而大幅降低了环绕微环一周的损耗因子,将Q 值提升至1.14×10 6。 基于该高Q 值的微环,实现了一个带通型的微波光子滤波器,实验测得的滤波带宽约为170MHz,抑 制比为26.5dB,调谐范围为2~18.4GHz。采用类 似设计思路的高Q 值硅基微环近年来同样得到了其他研究者的关注并提出了进一步优化的方法。
(a) 基于硅基微环的带通滤波器
(b) 基于硅基微盘的带陷滤波器
图4 基于硅基微环/微盘的滤波器系统
在提升滤波抑制比方面,主要的解决思路是将传统微波光子滤波器中用于提升抑制比的电域或光域相减方案引入到硅基集成滤波器的系统中。如图5(b)所示结构,从耦合光栅输入单边带调制后的光信号,通过调节MZI1 上的电压V1,实现 MZI2 两臂的不等比例分光,强度高的一路光利用微环对边带进行滤波,而强度弱的一路光施加一个π相移。通过精细调节使微环路滤波后边带剩余光强和弱光一路的边带光强相等,那么两路光在滤波峰处就可以完全反相,实现相减抵消进而获得极高的消光比(大于60dB)。Marpaung等采用类似的相减方式,基于氮化硅微环和受激布里渊散射增益制备了一种兼顾高分辨率和高抑制比的滤波器,其带外抑制比大于50dB,同时3dB带宽在60~220MHz范围内可调。
若要在微波系统中完全替代传统的电滤波器, 除滤波带宽和抑制比等滤波本身的性能指标外,硅基微波光子滤波器还需要关注其射频(RF)性能,具体包括无杂散动态范围(SFDR)、噪声系数和链路增益等三项指标。悉尼大学Eggleton课题组首先关注与研究了硅基微波光子滤波器的RF性能的优化方法。如图5(c)所示,采用低损耗的氮化硅级联微环作为光滤波器,采用两台EDFA增大光芯片的入射光功率和补偿链路光损耗,有效提 升了噪声系数和增益两项指标。同时,利用低偏置 点(Low-Biased)技术进行电光调制,大幅度地提升了SFDR指标。该滤波器最终实现了射频增益为 +8dB、噪声系数为15.6dB 以及三阶无杂散动态范围为116dB·Hz2/3 的极高RF性能。
(a) 窄带滤波器
(b) 高抑制比滤波器
(c) 优化 RF性能的滤波器
图5 优化性能指标的滤波器
对于实际微波系统,在提升滤波器性能的同时, 往往还需要实现特殊的滤波波形(如平顶滤波)与滤 波响应的可重构,以满足特定应用场景的需求。 在常见的洛伦兹或高斯型滤波波形之外,平顶 (Flat-Top)滤波在无线通信系统同样有着重要应用价值。
实现平顶型微波光子滤波器,即需要实现一个平顶型的光滤波器,最为常用的方案是采用级联耦合微环结构(Coupled Resonator Optical Waveguide,CROW)。2019年,荷兰的研究者Taddei等 将8个氮化硅微环的drop端级联起来,如图6所示,通过热光调谐每个微环的耦合系数与谐振峰位置来满足平顶滤波的条件,实现了72MHz带宽、大于51dB带外抑制比的平顶滤波波形。同年,张新亮研究团队采用10个硅基微环级联的CROW 结构,实现了通带带宽在5.3~ 19.5GHz范围内连续可调的平顶型滤波器。
图6 平顶型滤波器
实现滤波响应可重构的相干型微波光子滤波器,一种思路是设计可重构的光滤波器,即通过将微 环、MZ干涉仪等基本结构组合成网格或阵列, 通过调谐器件组合的不同状态与参数实现滤波响应的重构,进而改变映射到电域上的滤波波形。另一 种思路则是通过重构电光调制器对电信号的调制状态,进而改变还原到电域上的滤波波形,这种方法多用于带通滤波与带陷滤波响应之间切换。图7 所示为基于硅基微环的带通/带陷滤波响应可切换 的滤波器系统架构,通过调整偏振控制器PC2, 可以分别实现不等幅双边带调制和理想的相位调制 信号,从而使经过微环滤波后进入探测器拍频出的滤波响应在带通滤波与带阻滤波响应之间切换。
图7 可重构型滤波器
3.2 基于硅基波导布拉格光栅的滤波器
硅基波导布拉格光栅(WBG)是另一种适用于 多种集成微波光子信号处理功能的基础器件结构, 同样可以应用在微波光子滤波器的系统中。
2014年,Burla等首先报道了利用硅基WBG实现的带陷型微波光子滤波器。其中,WBG的器件结构与设计参数如图8(a)所示,采用多项目晶圆(Multi-Project Wafer,MPW)方式在欧洲IMEC机构进行器件加工。图8(b)所示为实验测得的滤波器频率响应,其中心带陷频率可以在0~ 20GHz范围内连续可调。同样是基于硅基 WBG 结构,Zhang等利用硅基有源工艺对WBG波导进行掺杂,从而可以通过硅载流子色散效应快速调谐 WBG波导的有效折射率,实现了可编程式的多用途WBG,对于实现可重构型滤波器具有重要的参考价值。
硅基波导布拉格光栅的结构紧凑,设计理论简单成熟,且温度敏感性相较于微环/微盘结构更低, 是实现硅基微波光子滤波器的理想选择之一。然 而,目前受硅波导刻蚀工艺所限,器件的设计性能与实际加工出来的性能存在较大差异,导致滤波器的滤波带宽与抑制比较差。因此,不断优化器件的加 工工艺是未来发展的重要任务。
(a) WBG的结构设计
(b) 基于 WBG的滤波器响应
图8 基于硅基 WBG的微波光子滤波器
3.3 基于硅基片上SBS效应的滤波器
受激布里渊散射(SBS)是介质中光波与声波相 互作用所产生的一种非线性光学效应。当入射泵浦光功率较高时,由光波产生的电磁伸缩效应在介质内激发起前向传播的声波,入射光被声波散射而产生后 向传播的光波,称为斯托克斯(Stokes)波。 SBS效应由于线宽极窄、频率稳定等显著优势,成为实现超窄带宽微波光子滤波器的最优选择之一,已 在硫系玻璃波导中得到了验证。硅材料的受激布里渊增益系数很小,相比硫系波导,构建出微波光 子滤波器系统的难度更大。不过,这一难题在2015 年被 Eggleton课题组率先攻克,他们提出了图9所示的微波光子滤波器系统方案。首先,他们设计 了一种部分悬空的硅纳米线波导,这样的结构可以 增大硅波导对光场的束缚能力,从而抑制声场从硅 波导到二氧化硅基底的泄露,增强了硅波导内的声 光相互作用,获得了约1dB的 SBS增益。同时,基 于3.2节提到的微波上下边带相减的方式,他们仅 利用这1dB的SBS增益实现了抑制比达48dB 的 带陷型滤波,滤波带宽为98MHz,是目前在硅基平 台上实现的最窄滤波器线宽。
图9 基于硅基片上SBS效应的滤波器
3.4 硅基单片集成滤波器
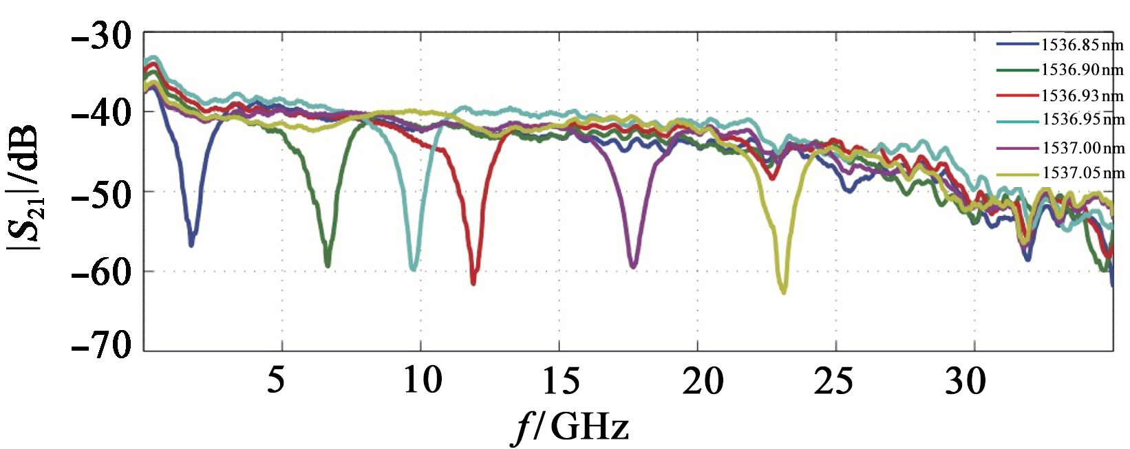
以上介绍的硅基相干型微波光子滤波器,仅无源的光滤波器部分实现了片上集成,系统中的激光 器、调制器和探测器部分仍采用的是分立器件,因而系统复杂度仍然较高。硅基集成工艺的飞速发展, 为实现单片集成硅基微波光子滤波器创造了可能。 2018年,加拿大多伦多大学的 Yao课题组报道了世 界上第一个硅基单片集成的微波光子滤波器,器 件结构如图10(a)所示,包括一个相位调制器、一个热调谐微盘和一个探测 器。基于 PM-IM转换效应,实现了带通型滤波响应,并可通过热光效应调谐 微盘谐振峰位置进而改变滤波通带的中心频率。测 试结果如图10(b)所示,3dB 滤波带宽约为1.93GHz,滤波中心频率在3~10GHz连续可调。 这项研究工作初步证明了硅基单片集成微波光子滤 波器的可行性,是推动硅基微波光子滤波器向更高 集成度和实用化发展的重要一步。
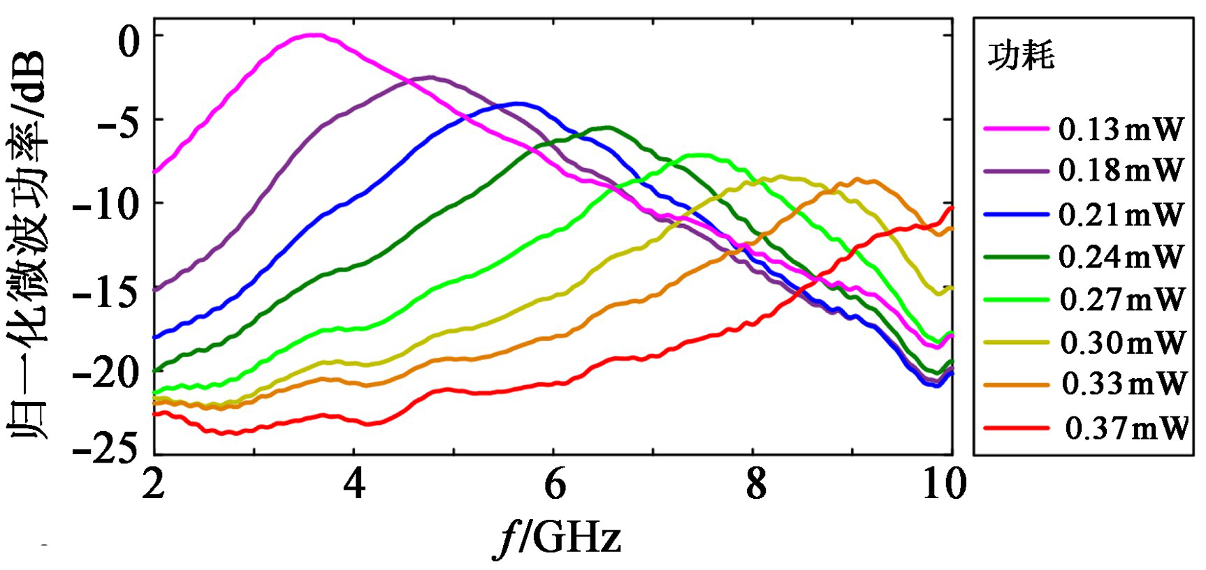
然而该滤波器的性能指标,如滤波带宽和频率 调谐范围均较差,与传统电滤波器相比优势并不明 显。此外,该滤波器仅能固定实现带通滤波的功能。 为解决这些问题,我们课题组提出了图10(c)所示的硅基单片集成的高性能、滤波响应可切换的滤波 器。将一个双驱动 MZ调制器、一个高Q 值微环和 一个探测器全部集成在单个硅芯片上,光源通过光 栅耦合器外部输入。通过调节 MZ调制器的直流偏 置点,可分别实现对射频输入的不等幅双边带调制 和等效相位调制,进而分别得到带通型滤波和带阻 型滤波效果,如图10(d)所示。相比 Yao课题组的 工作,我们通过优化系统中调制器和探测器的工作带宽,同时提升光滤波器的 Q 值,从而大幅度地提升了滤波器的滤波性能:带阻/带通滤波的中心频率 调谐范围为 3~25GHz/3~20GHz,滤波带宽为 380~450MHz/390~470MHz。
(a) 硅基带通滤波器的结构
(b) 带通滤波测试结果
(c) 硅基可切换型滤波器的系统构成与原理
(d) 可切换型滤波器的滤波测试结果
图10 单片集成的硅基微波光子滤波器
4、总结与展望
表1列出了本文中所提及的具有代表性的硅基微波光子滤波器的研究结果,并对滤波性能进行了 比较。可以看出,非相干型集成滤波器的相关研究较少,系统集成度不高,目前仅实现了单个器件的片上化,且性能与传统分立系统相比仍存在较大差距。 因此,该类型的集成滤波器在未来仍有很大的研究 潜力和价值,重点需要在实现高效率多波长光源、多通道高精度波形整形器和低损耗高色散波导等极具挑战性的研究方向进行探索与突破。

相干型滤波器由于系统结构相对更简单,已在滤波带宽、调谐范围、带外抑制比等关键滤波指标上 实现了较高的性能,达到了与分立系统或传统电滤 波器相近的水平。同时,在硅基平台上实现相干型 滤波器的单片集成也得到了初步验证。然而,硅基 微波光子滤波器要实现真正的应用,目前仍面临诸 多难题:系统中的光源均未实现集成;滤波器系统链 路的光损耗较高,导致对输入微波信号的电学插损 高;大部分研究仅在个别指标上实现了高性能,例 如,基于硅SBS效应的滤波器实现了最窄的滤波带 宽,然而在调谐范围和系统功耗方面则表现较差,尚 未有多项性能兼顾的集成滤波器报道。
为进一步提升硅基微波光子滤波器的性能指标 与集成度,满足在实际微波系统中的应用需求,未来 主要需要在以下几个主要方向上努力:(1)面向微波 光子滤波器的系统需求,实现更高性能的核心功能 器件,包括高功率可集成硅基光源、高线性度低驱动 电光调制器、低损耗高Q 值无源光滤波器及高功率 光电探测器;(2)基于硅基光电混合集成的工艺,实 现光芯片与线性电放大器、跨阻放大器等电芯片的 集成,提升滤波器系统的增益、噪声系数等指标;(3) 形成完善成熟的硅基微波光子滤波器的封装工艺, 解决管壳封装、射频封装、芯片温度反馈控制等重要 工程问题。
作者简介:
陶源盛(1995-),男,河南人,2017年本科毕业 于电子科技大学,现为博士研究生,主要研究方向为 硅基微波光子学; 王兴军(1976-),男,辽宁人,博士,教授,博士 生导师,教育部首批青年长江学者,教育部新世纪优 秀人才,主要研究方向为光电子集成技术; 胡薇薇 (1963-)女,博士,教授,博士生导师,主 要研究方向为光学相控阵、毫米波光纤通信系统与 可见光通信。
地址:成都市成华区电子科技大学(沙河校区)电子信息产业大厦 版权所有:四川微固光电有限公司
技术支持:阿里云[aliyun] Copyright © 2021 MESEOE All Rights Reserved.蜀ICP备19020998号-1