时间:2021/04/06 点击量:275
在石灰、水泥等物料的生产过程中,最重要的工 艺环节就是煅烧,回转窑作为煅烧工艺的核心设备, 它的运转情况直接关系到产品的产量和质量,并且回转窑的局部异常高温会损坏窑的内衬以及窑筒体。停窑检修和生产效率的降低会给企业带来巨大的经济损失。全面监测回转窑的表面温度是保证回转窑安全运行的基础,为此国内外广泛采用红外线扫描测温技术来全面监测回转窑的表面温度,并生成回转窑表面对应的红外热图像。
1.红外扫描测温系统构成及工作原理
1.1 红外扫描测温系统构成
红外扫描测温系统由于具有扫描频率快、成像视场角大的特点,在回转窑及运动目标表面温度测量中具有广阔的应用前景。该系统主要由红外扫描仪、数据传输模块、上位机监控软件(温度数据显示和历史数据回放)组成,如图1所示。红外扫描仪接收来自回转窑的红外辐射能量,经红外传感器及信号处理得到相应的温度数据。再经数据传输模块发送到上位机软件,上位机软件通过数据处理得到回转窑表面的红外热图像。
图1 回转窑红外扫描测温系统示意图
回转窑是指旋转煅烧窑(俗称旋窑),属于大型煅烧设备,按煅烧物料可分为水泥窑、冶金化工窑和石灰窑等。大型回转窑窑长约60m,在工作过程中其内部温度高达1000~1450℃,物料在回转窑中经过干燥、预热、分解、燃烧等复杂的物理化学变化, 并借着物料自身的重量缓慢地移向低端,最终变成熟料产品。回转窑筒体示意图如图2所示。
图2 回转窑筒体示意图
1.2 红外扫描测温系统工作原理
回转窑辐射的红外光经光学镜头反射到红外传感器中,红外传感器接收红外辐射能量并转换成电信号。DSP负责采集电信号并处理,从而得到相应的温度灰度数据,再经由数据传输模块发送到显示终端进行处理并显示。回转窑表面红外图像获取流程如图3所示。
图3 回转窑表面红外热图像获取流程
红外扫描测温系统通过光学镜头的线扫描,利用回转窑的自旋转,形成回转窑表面的红外热图像。扫描仪中光学镜头通过电机完成自旋转形成线扫描,从而采集回转窑上一条线的温度信息,并且在成像系统界面中以一维曲线的形式显示。回转窑自旋转一周后采集的多条温度线即可形成回转窑表面的二维红外热图像。一维温度曲线及二维红外热图像如图4所示。
图4 一维温度曲线及二维红外热图像
2.基于视觉特性的红外图像增强方法研究
图像处理的目的有多种,如特征提取(提取图像 的某些特性,用于辨识图像的某些内容)、图像恢复(以客观的图像处理方法来减少图像的模糊)、图像 压缩(在图像质量损失尽可能小的情况下,用尽可能小的字节数来存储图像)、图像增强(以主观的方式 提升图像的对比度)。本文根据回转窑监控的目的(突出显示异常高温区域),根据视觉特性对回转窑表面的红外图像进行图像增强。
2.1 人眼视觉特性研究
人类是视觉动物,大部分获取的信息都是通过眼睛来完成的。并且在图像处理的过程中,很多方法都涉及到提升图像的对比度、图像细节以及图像特征的过程,而评价这些处理是否成功就取决于人们对视觉观察结果的理解。
人眼可以看作一个光学器件,晶状体将视野中的光聚集到视网膜上,在视网膜中有近1.6亿个视杆细胞和视锥细胞。人眼通过视杆细胞感应亮度, 通过视锥细胞感应颜色,并且通过视锥细胞检测运动状态和判断场景光照,以此来进行色彩校正。视锥细胞有三类,每类细胞对应一种波长范围(一般称 R,G,B敏感性),三类细胞对波长的敏感性不同,三类细胞的组合波长感知范围即为人类可见光的波长范围(400~760nm)。人眼中三种视锥细胞的密度 不同,因此对于光的感应能力也不同,对绿光的感应能力最强,对蓝光的感应能力最差。
人眼对亮度的感知能力也是信息获取的一个重 要因素。测试研究表明,人眼对灰度的分辨能力与灰度级存在一定关系,如图5所示。根据图示关系可知,在灰度级为0左右时,人眼的分辨能力较差, 只有在相差超过6个灰度级时才能分辨其差别。在灰度级为250左右时,相差超过大概3个灰度级时 人眼才能分辨。灰度级在191时人眼的分辨能力最高,相差1个灰度级即能分辨。
图5 人眼在不同灰度范围的分辨能力
由此可知,图像灰度相差越大时,对比度越高, 图像的细节才能更好地引起视觉注意,因此,当需要获取回转窑表面异常高温区域(即图像细节)时,采取的图像增强方法可以偏重于增强灰度值差异。
2.2 图像增强研究
回转窑表面红外热图像的对比度不高,图像质量差,对回转窑表面的异常情况捕捉率低。本文针对这一缺陷,基于视觉特性,对回转窑表面灰度图像进行基于视觉特性的图像增强。在理想情况下,一幅好的图像需要让每一个像素点都能被分辨出来。这就要求各个像素之间的灰度差在人眼可分辩范围内,但在实际情况中,如本文的回转窑表面红外热图像中,灰度级往往容易集中在某一范围内,人眼无法区分各个像素。为了提高对比度,让图像更容易分辨,需要提高像素间的灰度差,对整幅图像进行灰度变换。原理如下:
1)根据人眼灰度的分辨能力与灰度的关系,可简化为公式(1):
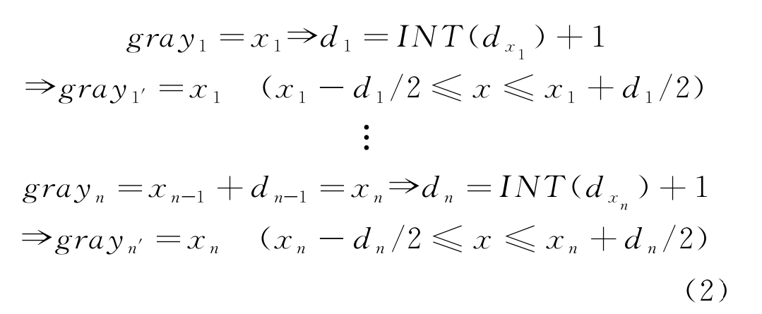
2)根据式(1)对整幅图像的灰度值进行分段处理。首先取灰度级x1,根据式(1)及灰度值算出临界可分辨灰度值d1,将 (x1-d/2)-(x1+d/2)的 灰度取值为x1,以此进行灰度变换。其次,取灰度 级x1+d1,处理过程同上。上述处理过程可总结为式(2):
3)回转窑表面灰度图像范围大多集中在120~ 220,并不涵盖全部范围,所以图像比较模糊,对比度不高。根据图像增强原理,如果不改变像素位置只改变灰度值,对灰度图像位于120~220的灰度值进行拉伸,使其均匀分布在0~255之间,图像会变得更清晰,对比度更高更易于人眼分辨。此外,根据人类视觉机制发现,灰度值在50~175范围内时,人眼可获得的信息量最为可观。结合这两种特性,对图的灰度进行线性拉伸。公式如下:
式中,k 为结合视觉特性的系数,mx,y 为根据不同类别回转窑以及回转窑温度状况的灰度补偿。灰度范围不同,m 值也不同。
3.实验与结果分析
本文实验基于实验室自主研发的红外扫描测温系统以及数据采集发送软件。红外扫描测温系统包括红外扫描仪和上位机监控软件(基于Windows系统)。其中红外扫描仪用于获取回转窑表面温度灰度数据;上位机监控软件基于QT开发,提供可视化的界面,并且根据扫描仪的数据进行图像处理,利用openGL绘制回转窑表面的一维温度曲线和二维红外热图像;数据采集发送软件为辅助软件。本研究是基于实际应用场景,用于监控回转窑表面温度状态,为了保证研究的可靠性与准确性,所有的实验数据均取自回转窑实际运行数据。为了便于多次对比实验,利用红外扫描仪和数据采集发送软件在工厂采集回转窑表面温度灰度数据。在实验室可根据采集的数据文件,利用数据采集发送软件将数据发送到上位机监控软件中,以此来获取回转窑表面的红外热图像。再根据本文算法对回转窑表面的红外热图像进行增强处理,实验所得效果如图6所示。
图6 回转窑表面红外图像增强前后的对比效
根据图6实验结果,选取了几个有代表性的细节进行分析,如图中方框所示。在图像1中,该细节表明回转窑内部小部分出现结皮状态,可能导致物料煅烧不充分,影响物料质量;在图像2中,该细节表明回转窑表面出现异常高温区域,内部可能出现 耐火砖脱落或者窑皮脱落情况,有出现红窑事故的 风险;在图像3中,该细节表明回转窑内部出现大面积结皮状态,有物料煅烧不充分的可能。根据图像增强前后对比效果可知,增强后在视觉上更易观察出回转窑中出现的结皮、耐火砖脱落等异常状态。
在完成实验后,需要根据图像质量评价相关标准来对图像增强后的效果进行评价,目前有两种质量评价方法:主观评价和客观评价。主观评价主要根据图像增强的目的,通过人眼来观察,然后判别增 强效果是否达到目的。在本文的研究中,图像增强 的目的是检测工作中回转窑表面的异常高温区域, 也即细节增强,提升图像对比度,使得人眼更容易观察出异常高温区域的位置。根据主观观察,由图6 所示结果可以看出,本文基于视觉特性的图像增强 使得红外图像对比度更高,人眼更容易观察出图像异常高温区域,达到了本文研究的目的;客观评价主要是通过计算图像的一些指标来评价图像,指标主要有信息熵、标准差、对比度、平均亮度、空间频率、清晰度、交叉熵、边缘强度等.
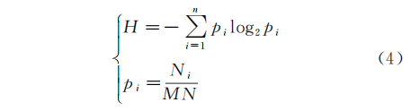
本文根据研究目的,主要通过信息熵、平均亮度 和标准差三个指标来进行图像质量评价。信息熵主 要是反映图像表现细节的能力,信息熵越大,表示图像的信息量越大、灰度范围越广,细节表现能力越强。计算公式如下:
式中,pi 表示灰度级为i 的像素出现的概率,MN 表示一幅图像总的像素个数,Ni 表示灰度级为i的 总像素个数。图像标准差反映图像像素灰度值相对于均值的离散程度,标准差越大,图像质量越好,对比度越高。计算公式如下:
式中,MN 表示一幅图像总的像素个数,Fi,j 表示像素的灰度值。平均亮度即图像像素的平均值,平均亮度越大, 图像越清晰,图像质量越好,更利于人眼观察。计算公式如下:

根据图像质量评价标准,回转窑表面红外图像 增强前后质量评价对比如表1所示,可以看出,增强后的图像的信息熵、对比度以及清晰度都比增强前的效果要好。可以认为通过本文研究的基于视觉特性的图像增强算法能让图像细节表现更丰富,能更好地显示回转窑表面的温度分布状况,并且对于回转窑的异常状态辨识度更高。

4.结论
红外扫描测温系统主要应用于回转窑表面温度监控中,在回转窑的生产过程中,如果出现局部异常高温,而系统没有及时检测出或者监控人员没有及时观察,都会造成红窑事故,给企业造成巨大的经济损失。本文研究的基于视觉特性的图像增强算法, 能有效提高红外图像中异常高温区域的辨识度,对 于回转窑表面温度差异体现得更为明显。即在视觉 上能够更清晰地显示图像的细节,使得回转窑表面 红外热图像对异常情况的分辨率更高。
作者简介:代少升(1974-),男,河南潢川人,博士,教授, 主要从事红外成像技术及SOPC 嵌入式系统的设计与开发;李松葵(1994-),男,湖北黄冈人,硕士研究生, 主要研究方向为红外成像技术应用及红外图像处理。
地址:成都市成华区电子科技大学(沙河校区)电子信息产业大厦 版权所有:四川微固光电有限公司
技术支持:阿里云[aliyun] Copyright © 2021 MESEOE All Rights Reserved.蜀ICP备19020998号-1